Skip to content
    • Ico Chemistry Chemistry
    • Biology Biology
    • 16+
    • 75

Chemistry of life

  of  14

Water: a key molecule for life

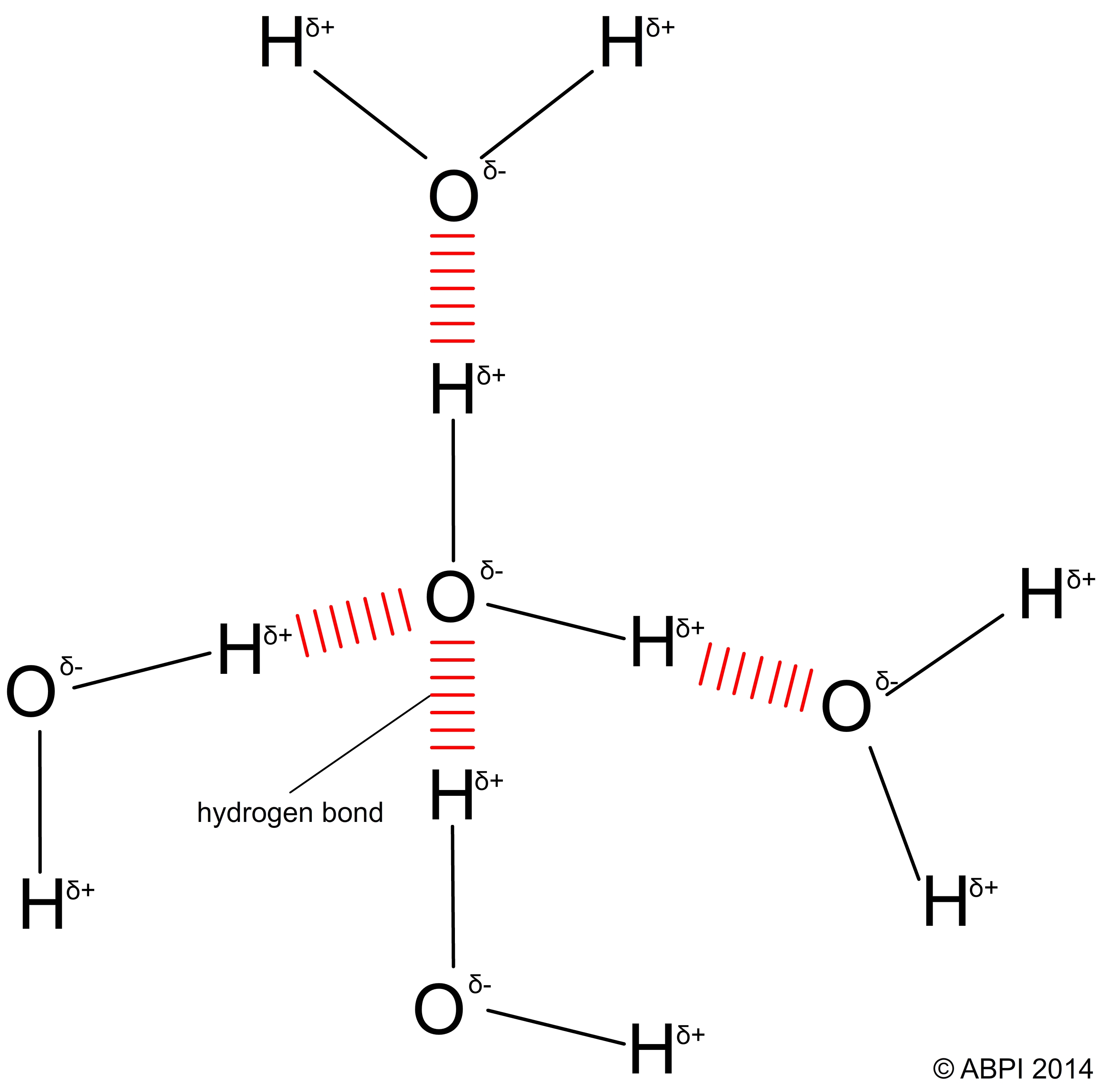
The chemical formula for water is H2O – two hydrogen atoms covalently bonded to one oxygen atom. The shape of the molecule and the distribution of electrons in this molecule means it is polar, with the oxygen slightly negative and the hydrogen atoms slightly positive. As a result water molecules are held together by hydrogen bonds. It is the effect of these bonds which makes water liquid at room temperature and the perfect medium for life. After all, it makes up 60-70% of your body!

 

Water is a polar molecule.

Hydrogen Bonding

The wonders of water

  • It is a metabolite in reactions e.g. water plays a major role in photosynthesis and respiration.
  • It is an excellent solvent – water dissolves covalent, polar and ionic substances which makes it ideal as the basis of the cytoplasm in cells and as a transport medium in flowering plants and animals.
  • It has a high specific heat capacity – this is a measure of the amount of energy needed to raise a fixed amount of a substance by 1oC. It takes a lot of heat to warm up a body of water, and water takes a long time to cool down.

 

 

 

Water Season Change
Air Water Temperature

 

  • It is incompressible: the fact that water can’t be compressed makes it an ideal supporting system e.g. hydrostatic skeletons in many animals, turgor in plant cells
  • It reaches its maximum density at 4oC – the fact that ice floats on water means that living organisms can survive in the water below the ice in cold conditions.

 

 

  • Latent heat of vapourisation – it takes a lot of energy to break the hydrogen bonds holding liquid water together and turn it into a gas. This explains why all the water has not evaporated from the surface of the earth. It also explains how the evaporation of water from animal surfaces (e.g. sweating) and plant leaves (e.g. transpiration) are effective cooling systems.
  • Cohesion and adhesion: water molecules are attracted to each other (cohesion) and to other molecules (adhesion). This creates a column of water through the xylem tissues of a plant which is constantly drawn up as water evaporates from the leaves. The cohesion of water molecules to each other is greater than their adhesion to the air which creates the layer of surface tension at the surface of the water. This is important in aquatic ecosystems as many animals rely on surface tension, for example insects such as water striders.

 

Coral Reef
Sweat Man

 

  • Amphoteric nature: water can act as an acid, donating electrons to form H+ ions or gaining electrons to form OH- ions. It can therefore act as a buffer, neutralising any excess H+ or OH- ions that are formed during reactions in cells.
  • Habitat: water is needed for the functions of life in all living organisms, and a combination of its many properties mean it is an ideal habitat for life.